RN69 Flacher Lenker und mehr Druck auf dem Vorderrad
-
- RN 69
- skilexist
-
-
-
#242 Das ist ne gute Idee. Die Varios müssen demnach ned komplett montiert sein?
Das Mitführn des Eintrags scheint aber nicht zu reichen, du musst auch zur Zulassungsstelle -was n äct.
Da lob ich mir mal wieder n älteres Modell, für dasses des schon längst genug plug n play, statt plug n pray is.
Viel Glück auf der Prüfstelle.
P.S.
hast du keinen freien Schrauber? Die ham fast alle TÜV im Haus, da klappt so was garantiert einfacher. Ich würd dir ja mal den hier empfehlen
https://www.die-motorradhalle.de/
Is ned allzu weit von dir, musste aber vorher anrufen.
-
-
#243 Nur zur Info: Der X00 hat sehr wohl einen ABE für die RN 69.
Ich habe allerdings die Hülsen/Abstandshalter mit montiert, da ich Lenkerendenspiegel nach unten stehend dran habe.
Aber damit war das Eintragen wie gesagt ne Sache von 5 min.
@Xj6ler: Was für Schrauben und in welcher Länge hast Du denn verwendet, damit Du das ohne die Spacer verbauen konntest? Vielleicht versuche ich das auch noch

VG
Andreas
-
#244 Alles anzeigenNur zur Info: Der X00 hat sehr wohl einen ABE für die RN 69.
Ich habe allerdings die Hülsen/Abstandshalter mit montiert, da ich Lenkerendenspiegel nach unten stehend dran habe.
Aber damit war das Eintragen wie gesagt ne Sache von 5 min.
@Xj6ler: Was für Schrauben und in welcher Länge hast Du denn verwendet, damit Du das ohne die Spacer verbauen konntest? Vielleicht versuche ich das auch noch

VG
Andreas
Ach, dann schau ich mal ins Heftchen vom X00 😄 Gut, dass ich das mal erfahre 😄
Wenn du den Lenker so montierst, dass die LSL Schrift nach oben zeigt, dürften die Lenkerendenspiegel auch nach unten passen. Ich fahre grade heim und montieren dann welche. Mach dann ein Update.
Wegen der Schrauben.
War im Baumarkt und hab mir die selben Schrauben 20mm kürzer geholt. Waren glaube ich M10×60mm. Nur auf die 8.8 achten, dass ist die Zugfestigkeit und so.
Kostet nur ein paar Cent. Ist auf jeden Fall massig Platz, auch ohne die Abstandshülsen 😅
-
-
-
#246 Alles anzeigenAch, dann schau ich mal ins Heftchen vom X00 😄 Gut, dass ich das mal erfahre 😄
Wenn du den Lenker so montierst, dass die LSL Schrift nach oben zeigt, dürften die Lenkerendenspiegel auch nach unten passen. Ich fahre grade heim und montieren dann welche. Mach dann ein Update.
Wegen der Schrauben.
War im Baumarkt und hab mir die selben Schrauben 20mm kürzer geholt. Waren glaube ich M10×60mm. Nur auf die 8.8 achten, dass ist die Zugfestigkeit und so.
Kostet nur ein paar Cent. Ist auf jeden Fall massig Platz, auch ohne die Abstandshülsen 😅
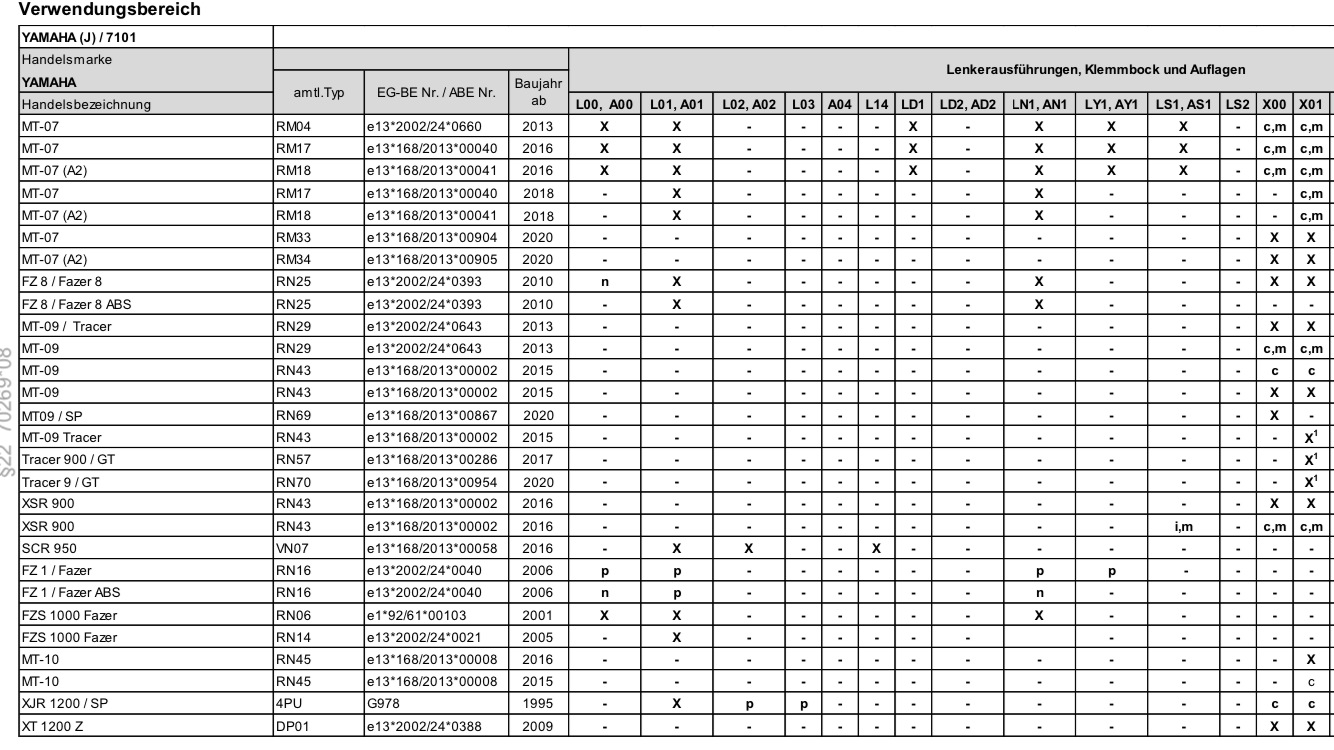
Hier ein Auszug aus der ABE von LSL für den X00 😉
Das hilft bei der Eintragung….
Ist zwar ein wenig klein, sollte aber mit Vergrößerung lesbar sein.
Siehe Reihe RN69 und Spalte X00 😉
-
-
#247 Alles anzeigenHier ein Auszug aus der ABE von LSL für den X00 😉
Das hilft bei der Eintragung….
Ist zwar ein wenig klein, sollte aber mit Vergrößerung lesbar sein.
Siehe Reihe RN69 und Spalte X00 😉
Perfekt, Danke 😊
-
-
-
#249 Alles anzeigenWg. der Baumarktschrauben.
Die sind i.d.R. verzinkt. Das klingt zwar gut, rostet aber ruckzuck. Besser Edelstahlschrauben raussuchen.
Danke für die Info. Schaue morgen mal nach, dachte aber ich hätte zu Edelstahl gegriffen. Aber falls nicht, wird das nachgeholt

-
-
-
Hey,
dir scheint die Diskussion zu gefallen, aber du bist nicht angemeldet.
Wenn du ein Konto eröffnest merken wir uns deinen Lesefortschritt und bringen dich dorthin zurück. Zudem können wir dich per E-Mail über neue Beiträge informieren. Dadurch verpasst du nichts mehr.
Jetzt anmelden!